johor career spaj
Utama - Suruhanjaya Perkhidmatan Awam Johor Suruhanjaya Perkhidmatan Awam Johor Aras 3 Bangunan Dato Andul Rahman Andak Kota Iskandar 79503 Iskandar PuteriJohor Darul. Suruhanjaya perkhidmatan awam johor adalah pihak kuasa melantik penjawat awam bagi berkhidmat didalam pentadbiran kerajaan johor.
Suruhanjaya Perkhidmatan Awam Johor Facebook
607 266 6422 607 266 6423.
. Suruhanjaya perkhidmatan awam johor spaj aras 3 blok a bangunan dato abdul rahman andak kota iskandar 79000 iskandar puteri tel no. Permohonan Jawatan Kosong Suruhanjaya Perkhidmatan Awam Johor SPAJ. Pangkat alexa Global.
Suruhanjaya Perkhidmatan Awam Johor Aras 3 Bangunan Dato Abdul Rahman Andak Kota Iskandar 79503 Iskandar Puteri Johor Darul Tazim. Permohonan hanya diterima pada melalui Borang SPAJ01-Online sahaja. B erikut merupakan maklumat iklan kerja kosong yang ditawarkan oleh majikan terlibat.
Pin On Dilip 2 Building People Centric Mobility held on 17th. 154612 likes 51 talking about this. Get the top SPAJ abbreviation related to Johor.
Spaj Johor Cara Daftar Sistem Permohonan Kerja Perkhidmatan Awam Negeri Johor Edu Bestari 2 Johor Career Spaj Have Fun In The Sun At Johor S Sand Sandals Desaru. Cara Permohonan Jawatan Kosong SPA Johor Online. SPAJ adalah sebuah agensi dibawah Kerajaan Johor dan sebagai Pihak Berkuasa Melantik PBM.
Iklan Jawatan Suruhanjaya Perkhidmatan Awam Johor SPAJ PAUTAN PERMOHONAN. Semua permohonan hendaklah dibuat secara online dengan melayari laman sesawang rasmi Suruhanjaya. 607 266 6422 607 266 6423 Faks.
Suruhanjaya Perkhidmatan Awam Johor. 04042017 suruhanjaya perkhidmatan awam. Emergency Line 607-225 3199 General Line 607-225 3000.
BORANG SPAJ01-ONLINE SURUHANJAYA PERKHIDMATAN AWAM JOHOR BORANG PERMOHONAN JAWATAN Butiran Untuk Dihubungi Alamat Surat Menyurat. Laman rasmi httpsspajjohorgovmy Sila Join Channel Rasmi PORTAL INFO BANTUAN KERAJAANSebarang kemaskini terbarukami akan update di Telegram Rasmi Kami. Cara Permohonan Jawatan Kosong Kerajaan Johor Online.
This page is all about the acronym of SPAJ and its meanings as. Suruhanjaya Perkhidmatan Awam Johor Spajohor Twitter Johor Career Share. As mentioned above SPAJ is used as an acronym in text messages to represent Suruhanjaya Perkhidmatan Awam Johor.
Pemohon perlu mendaftar sebagai. 157229Alexa pangkat di Malaysia adalah 733 Alamat ip utama laman ini adalah 49236202197Perkhidmatannya di Kuala LumpurMalaysia. Jobs in Johor Search apply for 702 Job vacancies openings in Johor.
What does SPAJ stand for in Johor. Senarai iklan jawatan kosong akan dipaparkan. Dengan hanya menggunakan aplikasi SISTAP.
Httpsspajjohorgovmy Klik IKLAN JAWATAN KOSONG di bahagian INFORMASI.
0 Summary Of Malaysia Housing Policy Download Table
Jawatan Kosong Di Suruhanjaya Perkhidmatan Awam Johor Spaj Appjawatan Malaysia
Suruhanjaya Perkhidmatan Awam Johor Spajohor Twitter
Peluang Pekerjaan Di Suruhanjaya Perkhidmatan Awam Negeri Johor Spaj Jawatan Kosong Kerajaan Swasta Terkini Malaysia 2021 2022
Portal Rasmi Jabatan Agama Islam Negeri Johor Islam Sebagai Cara Hidup
Suruhanjaya Perkhidmatan Awam Johor Facebook
Iklan Jawatan Kosong Spaj 2016 Kerajaan Negeri Johor
Pdf Similarities And Differences In Residents Perception Of Housing Adequacy And Residential Satisfaction
Suruhanjaya Perkhidmatan Awam Johor Spajohor Twitter
Contoh Soalan Peperiksaan Pegawai Tadbir Negeri Johor N41
Iklan Jawatan Kosong Spaj 2016 Kerajaan Negeri Johor
Panduan Borang Permohonan Spaj 01 2013 1
Personalizing Learning Of English Literature Perceptions And Challenges Semantic Scholar
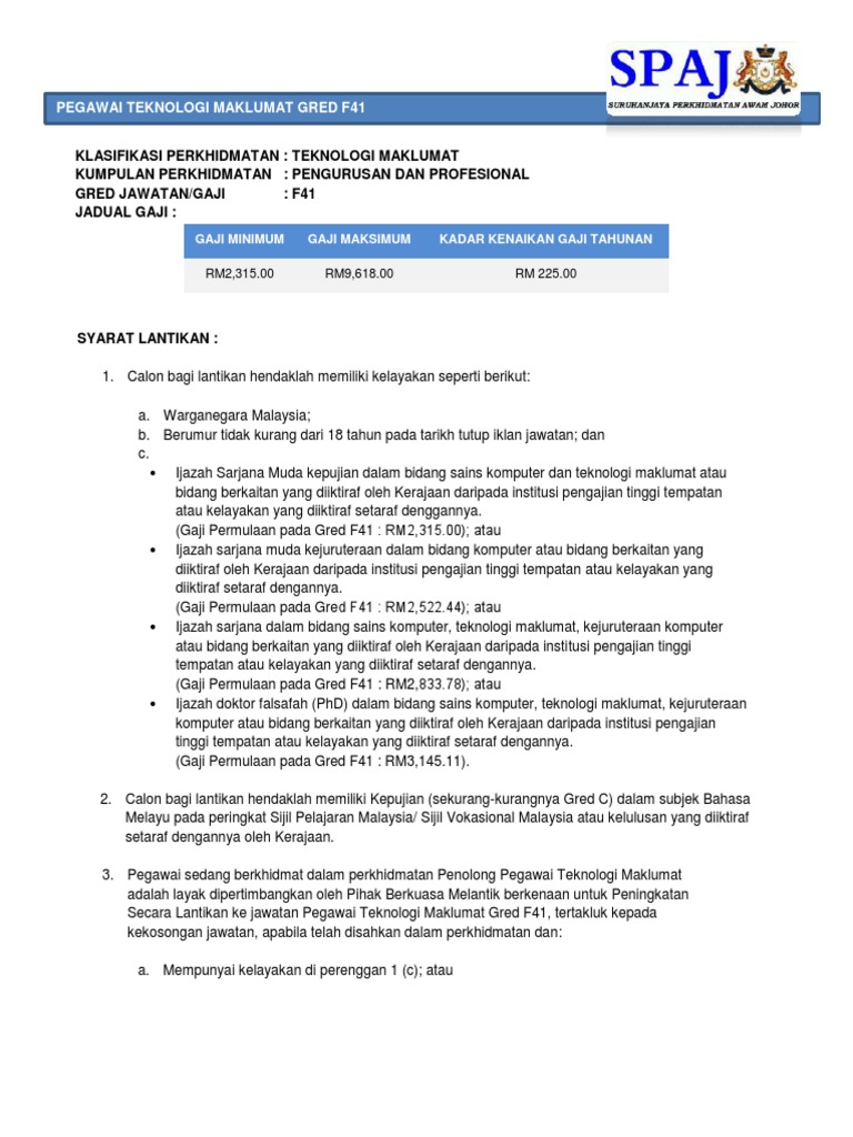
13 Pegawai Teknologi Maklumat F41 Pdf
Suruhanjaya Perkhidmatan Awam Johor Spajohor Twitter
Taman Perindustrian Maju Jaya Johor Bahru Corner Factory For Rent Iproperty Com My
Panas Jawatan Kosong Suruhanjaya Perkhidmatan Awam Negeri Johor Terkini
Jawatan Kosong Spaj Suruhanjaya Perkhidmatan Awam Johor Jawatan Kosong
